Среднее арифметическое чисел – это отношение суммы величин к их количеству.
Правило. Чтобы вычислить среднее арифметическое нескольких чисел, нужно взять сумму этих чисел и разделить все на количество слагаемых. Частное и будет средним арифметическим этих чисел.




Мода ряда чисел – это число, которое встречается в данном ряду чаще других.
Правило. Модой может быть как одно число, так и сразу несколько, а если ни одно числовое значение не повторяется чаще других, моды не будет совсем.

Медиана – это среднее значение в упорядоченном наборе чисел. То есть такое число набора, которое не больше ровно половины его элементов и не меньше тоже ровно половины.
Правило. Чтобы найти медиану числового набора, содержащего нечётное количество чисел, нужно упорядочить их по возрастанию, а затем найти число, находящееся ровно посередине. Для набора чисел с чётным количеством элементов нужно упорядочить их по возрастанию, затем найти два числа, находящихся в середине, и найти их среднее арифметическое, или полусумму.

Частота – это число повторений, показывающее, сколько раз за какой-то период происходило некоторое событие, проявлялось определённое свойство объекта либо наблюдаемый параметр достигал данной величины. То есть частота определяет то, как часто повторяется та или иная величина в выборке.
Частоты бывают двух видов – абсолютные и относительные:
Абсолютная частота определяет, как часто определённое событие происходит в данном эксперименте.
Относительная частота – это отношение абсолютной частоты к общему количеству. Как правило, относительная частота выражается в процентах.

ЧИСЛОВЫЕ НАБОРЫ. МЕРЫ ЦЕНТРАЛЬНОЙ ТЕНДЕНЦИИ

ОПИСАТЕЛЬНАЯ СТАТИСТИКА
НАИБОЛЬШЕЕ И НАИМЕНЬШЕЕ ЗНАЧЕНИЯ ЧИСЛОВОГО НАБОРА. РАЗМАХ
Наибольшее и наименьшее значения числового набора – крайние числа в упорядоченном по возрастанию или убыванию числовом наборе.
Наибольшее значение – это не то значение, которое больше всех остальных чисел в наборе, а то значение, которое не меньше всех других
(больше или равно).
Наименьшее значение – то, которое не больше всех других чисел.

Размах числового набора – разность между наибольшим и наименьшим значением этого числового набора. Размах равен длине отрезка, на котором располагаются все значения.

Отклонение – это разность между числом и средним арифметическим набора. Если число больше среднего арифметического, то отклонение будет положительным, если меньше – отрицательным.

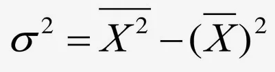
Дисперсия – среднее арифметическое квадратов отклонений чисел от их среднего арифметического.









Стандартное отклонение – квадратный корень из дисперсии этого набора.
Стандартное отклонение показывает разброс значений относительно среднего значения. Чем меньше стандартное отклонение, тем ближе значения к среднему. Чем больше стандартное отклонение, тем больше разброс данных






Диаграмма рассеивания – способ представления двух совместно наблюдаемых величин точками на координатной плоскости.
Данные точки образуют облако рассеивания.
С помощью диаграмм рассеивания можно определить потенциальные взаимосвязи между количественными переменными. Форма и расположение облака рассеивания позволяет выявить взаимосвязь или её отсутствие между компонентами и определить характер связи.
В простой диаграмме рассеяния используется плоская система координат для просмотра значений двух переменных. В объёмной диаграмме рассеяния – трёхмерная система координат для просмотра значений трёх переменных.

ОТКЛОНЕНИЕ. ДИСПЕРСИЯ ЧИСЛОВОГО НАБОРА

1) Произведение средней на сумму частот равно сумме произведений каждого значения признака на его частоту. Это свойство является способом проверки правильности вычисления средней.
2) Если из всех значений признака отнять какое-либо постоянное число, то средняя величина из новых значений уменьшится на это же число.
3) Если ко всем значениям признака прибавить какое-либо постоянное число, то средняя величина из новых значений увеличится на это же число.
4) Если все значения признака умножить на постоянное число, то средняя величина из новых значений увеличится во столько же раз.
5) Если значения признака разделить на какое-либо постоянное число, то средняя величина из новых значений уменьшится во столько же раз.
6) Если частоты всех значений признака разделить или умножить на постоянное число, то средняя величина от этого не изменится.
7) Сумма всех отклонений отдельных значений признака от средней величины всегда равняется нулю. При вычислении сумма положительных отклонений (когда индивидуальное значение больше средней величины) будет равна сумме отрицательных отклонений (когда индивидуальное значение меньше среднего значения).
Описательная статистика — это раздел статистики, который занимается сбором, анализом
и представлением данных с целью их простого обобщения и описания.
СВОЙСТВА СРЕДНИХ:
РЕШЕНИЕ ЗАДАЧ
Задача 1

Записан рост (в сантиметрах) пяти учащихся: 158, 166, 134, 130, 132. На сколько отличается среднее арифметическое этого набора чисел от его медианы?

Решение:

1) Средн.арифм. = 158+166+134+130+132/5=144

2) 130 132 134 158 166 - расставляем в порядке возрастания, медиана = 134

3) 144-134=10 - разница между средн.арифм. и медианой

Ответ: 10.

Задача 2

На соревнованиях по математике стали известны результаты участников, показанные в баллах: 65, 78, 82, 70, 90, 78, 85, 88, 75, 82. Найдите: среднее арифметическое результатов, наибольшее и наименьшее значение баллов, размах, медиану, моду.

Ответ:

1. Среднее арифметическое:

(65+78 +82+70+90+78+85+88+75+82)/10 = 79.8

2. Наименьшее значение: 65, наибольшее значение: 90

3. Размах: 90 - 65 = 25

4. Медиана: 80 (после сортировки: 65,70,75,78,78,82,82,85,88,90 →

средние 78 и 82; (78+82)/2 = 80)

5. Мода: 78 и 82 (появляются чаще всего)

This site was made on Tilda — a website builder that helps to create a website without any code
Create a website